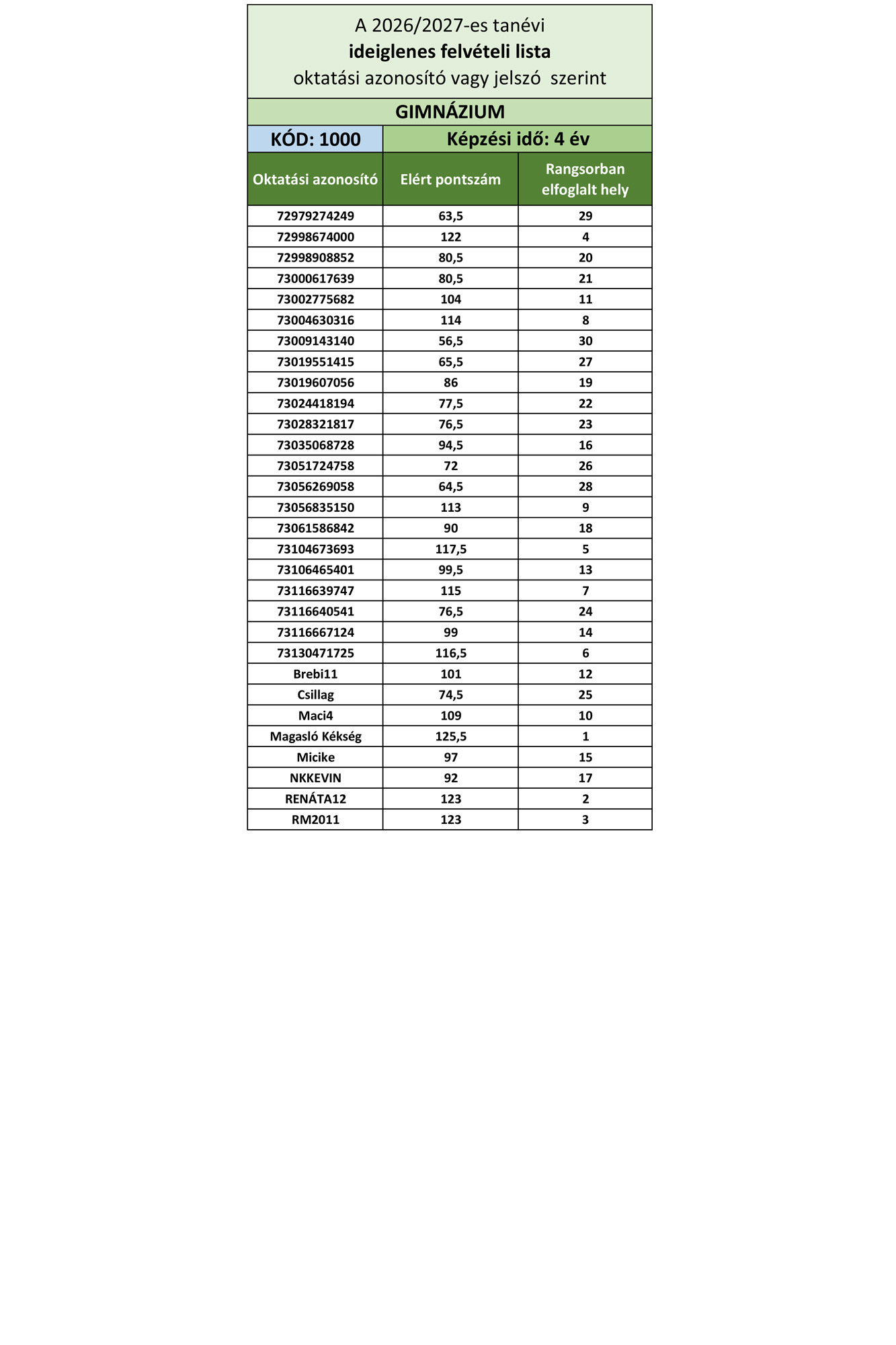
gimi